Electric Motor Cooling Using Water Jacket CFD Simulation: ANSYS Fluent Tutorial
Electric Motor Cooling Using Water Jacket CFD Simulation: ANSYS Fluent Tutorial
- Upon ordering this product, you will be provided with a geometry file, a mesh file, and an in-depth Training Video that offers a step-by-step training on the simulation process.
- For any more inquiries regarding the product, please do not hesitate to reach out to us at info@CFDLAND.com or through our online support assistant.
€145
Electric motors are the heart of the modern world. They power everything from massive industrial machines to the latest electric vehicles (EVs). However, when an electric motor works hard, the electricity pushing through the tightly packed copper wires creates a massive amount of friction and heat. If this heat cannot escape, the inside of the motor will literally melt, destroying the engine. To prevent this, engineers use Water Jacket cooling. They wrap the outside of the motor in a metal shell filled with pipes and pump cold water through it to absorb the heat. Building real metal prototypes to test these pipes costs too much money and time. Instead, smart engineers use an Electric Motor Cooling Using Water Jacket fluent simulation on a computer. It is very important to clearly state that this is an educational CFD analysis and visualization tutorial, not a validation study. We use the ANSYS Fluent software to visualize exactly how the hot copper transfers its heat into the cold water. By performing a complete CFD Analysis of Electric Motor Cooling Using Water Jacket, factories can find dangerous “hot spots” before they ever build the real car. For more lessons on how to simulate heat moving through solid metals and cooling fluids, please explore our Heat Transfer tutorials.
- Reference [1]: Zeaiter, Amal. Thermal modeling and cooling of electric motors: Application to the propulsion of hybrid aircraft. Diss. ISAE-ENSMA Ecole Nationale Supérieure de Mécanique et d’Aérotechique-Poitiers, 2020.

Figure 1: Water jacket design around the motor, showing the physical cooling channels wrapped around the stator housing..
Simulation Process: Conjugate Heat Transfer (CHT) Fluent Setup
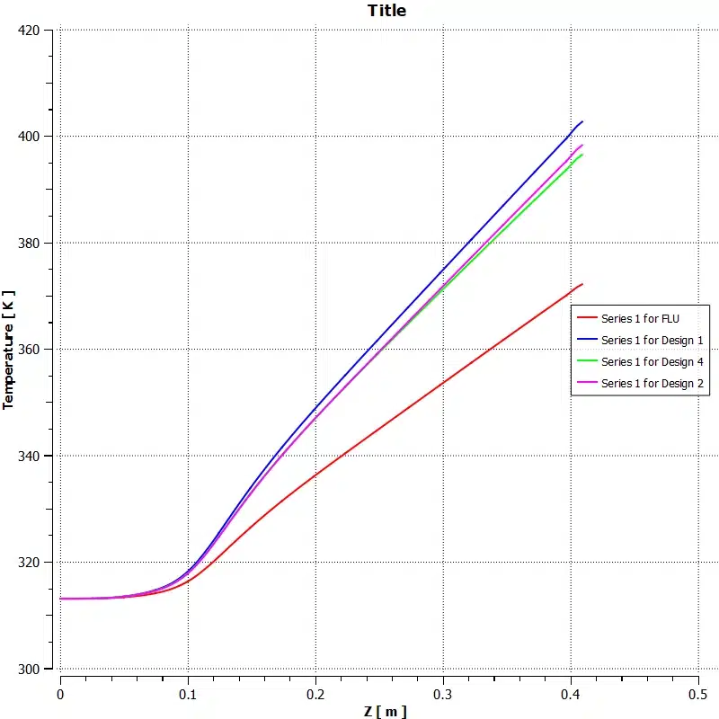
For this Electric Motor Cooling Using Water Jacket ANSYS Fluent project, we built a highly detailed 3D computer model of a standard motor. To find the absolute best cooling performance, we tested an uncooled motor against three different water jacket pipe shapes: Design 1, Design 2, and Design 4. To guarantee perfect mathematical accuracy, we divided the solid metal and the fluid water spaces into a very clean, structured grid containing exactly 1,132,500 hexahedral cells.
The physics setup relies on the Conjugate Heat Transfer (CHT) model. This powerful tool allows ANSYS Fluent to calculate the temperature of the solid aluminum and copper, and the temperature of the flowing water, all at the exact same time. To simulate the intense heat of a working motor (Joule heating), we injected a massive volumetric energy source of 16,296,296 W/m³ directly into the copper parts.

Figure 2: Structured grid on the motor, displaying the high-quality mesh with 1.13 million hexahedral cells for accurate heat calculation.

Figure 3: Three different designs recommended for the water jacket, showing the various pipe configurations (Design 1, 2, and 4) tested to find the best cooling shape.
Post-processing: Analytical Review of Shaft Temperatures and Thermal Hot Spots
To truly master this Electric Motor Cooling Using Water Jacket fluent study, we must strictly analyze the heat data without taking any shortcuts. In fluid thermodynamics, the ultimate goal of a cooling system is for the water to gain heat. If the water enters the motor cold and leaves the motor cold, it means it failed to steal the heat from the metal. We must examine the baseline FLU case, analyze the thermal stress on the central shaft, and evaluate the numerical heat gain to prove which water jacket is superior.
The temperature contours reveal a terrifying reality for the baseline FLU case shown in the top left of the visuals. In this FLU design, there is water flowing through the motor, but it passes directly from the front to the back without a complex wrapping jacket. Because the water moves straight through so quickly, it barely touches the metal and completely fails to gain heat. As a result, the massive 16.29 million W/m³ energy source stays trapped inside the solid copper windings. This trapped thermal energy would instantly burn away the internal wire insulation and cause a fatal electrical short circuit in a real vehicle.
The numerical proof of this failure is found by measuring the temperature of the water exactly as it exits the motor. By reviewing the Area Average Temperature table below, we can see exactly how much heat the water successfully gained. In the FLU case, the water leaving the stator outlet is only 333.378 K. This low number scientifically proves the direct water passage is completely useless; it leaves the engine almost as cold as it entered. However, when we force the water through the twisting, complex paths of the water jackets, the physics completely change. Design 1 exits at a boiling 561.305 K, Design 4 exits at 563.961 K, and Design 2 exits at a highly balanced 465.715 K. These extremely hot outlet temperatures are exactly what engineers want to see. It means the water jackets acted like perfect thermal sponges, aggressively stripping massive amounts of heat away from the sensitive motor parts.
Table 1: Area Average of Temperature on Outlet Cooling Stator and Shaft
| Design Case | Outlet Cooling Stator [K] | Outlet Cooling Shaft [K] |
| Design 1 | 561.305 | 424.988 |
| Design 2 | 465.715 | 419.434 |
| Design 4 | 563.961 | 416.385 |
| FLU | 333.378 | 386.885 |
Finally, we must identify the ultimate solution for manufacturers by looking at the isolated pipe flow contours. While Designs 1 and 4 absorb the most heat, their temperature colors are highly uneven from pipe to pipe. This uneven flow creates dangerous, localized hot spots on the engine block. The isolated pipe contour for Design 2, however, shows the most perfect and smooth cooling gradient possible. Every single channel changes color from cool cyan to hot orange in the exact same way. This proves that Design 2 possesses a perfectly balanced water distribution with zero dead zones. By absorbing a healthy 465.715 K of heat in a perfectly uniform manner, Design 2 guarantees that electric vehicles will have highly reliable, long-lasting motors that will never warp or melt during heavy driving.

Figure 4: Different water jackets and the simple electric motor cooling system


Figure 5: Temperature contours on motor, visualizing the extremely hot core and how the cold water channels absorb the heat in different designs.
Key Takeaways & FAQ
- Q: Why is a hot water outlet temperature actually a good thing?
- A: In thermodynamics, the cooling fluid must gain heat to protect the solid metal. If the water exits the motor very hot (like Design 1, 2, and 4), it proves the water successfully stripped the dangerous heat away from the engine core.
- Q: Why does the baseline FLU case fail?
- A: The FLU case has water, but it flows directly straight through the motor without a complex jacket. Because it moves too fast and touches too little surface area, it fails to absorb the heat, leaving the motor core at a melting 1073 K.
We pride ourselves on presenting unique products at CFDLAND. We stand out for our scientific rigor and validity. Our products are not based on guesswork or theoretical assumptions like many others. Instead, most of our products are validated using experimental or numerical data from valued scientific journals. Even if direct validation isn’t possible, we build our models and assumptions on the latest research, typically using reference articles to approximate reality.
Yes, we’ll be here . If you have trouble loading files, having technical problems, or have any questions about how to use our products, our technical support team is here to help.
You can load geometry and mesh files, as well as case and data files, using any version of ANSYS Fluent.
€160 Original price was: €160.€75Current price is: €75.
€190 Original price was: €190.€125Current price is: €125.
€295 Original price was: €295.€175Current price is: €175.
€200 Original price was: €200.€125Current price is: €125.
€245 Original price was: €245.€185Current price is: €185.
€240 Original price was: €240.€135Current price is: €135.













Reviews
There are no reviews yet.