Thermal Non-equilibrium in Packed Bed Reactor CFD Simulation: ANSYS Fluent Tutorial
Thermal Non-equilibrium in Packed Bed Reactor CFD Simulation: ANSYS Fluent Tutorial
- Upon ordering this product, you will be provided with a geometry file, a mesh file, and an in-depth Training Video that offers a step-by-step training on the simulation process.
- For any more inquiries regarding the product, please do not hesitate to reach out to us at info@CFDLAND.com or through our online support assistant.
€160 Original price was: €160.€145Current price is: €145.
Chemical factories use large metal pipes filled with thousands of small solid balls to manufacture chemical products. This powerful machine is called a Packed Bed Reactor. When fluid or gas flows through the tiny gaps between these solid balls, the chemical reactions generate a massive amount of heat. Because the solid packing balls and the flowing gas are made of completely different materials, the solid material heats up much faster than the lightweight gas. This means the solid temperature and the fluid temperature are dangerously different at the exact same time. Engineers call this critical temperature gap Thermal Non-equilibrium. If designers pretend both temperatures are exactly the same, they will make terrible engineering mistakes, building weak reactors that can melt, crack, or explode. To build safe and strong chemical plants, modern engineers run a Thermal Non-equilibrium in Packed Bed Reactor fluent simulation on a computer. By using the ANSYS Fluent software, we can look inside the solid metal tank and calculate the two different temperatures at the same time. This complete CFD Analysis of Thermal Non-equilibrium in Packed Bed Reactor helps manufacturers choose the perfect porous materials to keep the heat perfectly balanced, saving factories millions of dollars by preventing hidden hot spots. For more simple lessons on how to simulate heating and cooling in complex machines, please explore our Heat Transfer tutorials.

Figure 1: Schematic of the Packed Bed Reactor, showing the cylindrical metal vessel and the solid particles that create complex flow paths for the fluid.
Simulation Process: Transient Porous Media and UDS Setup in ANSYS Fluent
For this Thermal Non-equilibrium in Packed Bed Reactor ANSYS Fluent project, we built a 2D axisymmetric computer model of a cylindrical reactor. The model is exactly 0.032 meters wide and 0.25 meters long. We divided this empty pipe space into a very clean, structured grid containing exactly 12,500 cells. This fine mesh is incredibly important to accurately calculate the invisible gas flowing through the microscopic gaps between the solid balls. We set up a transient simulation to run for 2000 seconds so we could watch how the extreme heat changes over time.
To simulate the solid balls without crashing the computer by drawing millions of tiny spheres, we used the highly efficient porous media model. We set the Thermal Non-equilibrium porous value (porosity) to exactly 0.423, which perfectly represents real spherical glass particles. The most important engineering step was writing a custom mathematical computer code called a Thermal Non-equilibrium UDF (User-Defined Function). This code forces the computer to solve two completely different energy equations at the exact same time. The main equation tracks the fluid air temperature. The second equation uses a special tool called a User-Defined Scalar (UDS) to separately track the hot solid packing temperature. This brilliant math setup allows the software to calculate the exact convective heat transfer between the hot solid glass and the colder fluid inside every single one of the 12,500 cells.
Post-processing: Deep Analytical Review of Thermal Gradients and the Two-Temperature Phenomenon
To truly master this Thermal Non-equilibrium in Packed Bed Reactor fluent study, we must strictly analyze the heat data using the fluid and solid temperature contours. The survival of the chemical reactor depends entirely on how the flowing gas absorbs heat from the solid glass beads. We will first look at the dangerous thermal shock at the entrance, analyze the rapid heat exchange zone, and finally explain the hidden radial hot spots near the center of the pipe.
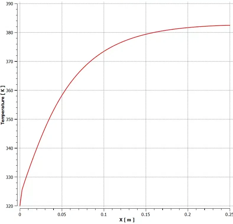
The temperature data shows a severe and immediate physical danger at the very entrance of the reactor, located at X = 0 meters. When the process starts, the fluid air enters the pipe at a cool 320 K (47°C). However, the solid glass packing material is already holding a much higher temperature of 335 K (62°C). This creates a massive 15 K initial temperature difference between the gas and the solid touching it. This 15 K gap is the exact definition of Local Thermal Non-Equilibrium (LTNE). If a manufacturer used a cheap, basic simulation that assumed the gas and solid shared one single temperature, they would be completely blind to this initial thermal shock. In the real world, this sudden 15 K temperature clash would thermally shock the solid glass beads, causing them to crack and destroy the expensive chemical catalyst.
As we track the fluid traveling deeper into the first 0.05 meters of the reactor, we witness a massive phase of rapid heat transfer. The cool fluid aggressively absorbs the thermal energy from the hot solid balls. Within just 0.05 meters of travel, the fluid temperature shoots up rapidly from 320 K to 360 K. Because the fluid is stealing the heat so quickly, the dangerous 15 K temperature gap shrinks down to a very safe 2 K difference. As the flow continues all the way to the final outlet at X = 0.25 meters, both the moving fluid and the solid glass packing reach the exact same final temperature of 383 K (110°C). The data proves that the thermal non-equilibrium is extremely severe in the first 30% of the reactor, but after this fast heating zone, the two materials successfully reach perfect thermal equilibrium.


Figure 2: Fluid temperature profile and contour, displaying the rapid 63 K heat rise of the gas as it travels along the 2D axisymmetric domain from the inlet to the outlet.
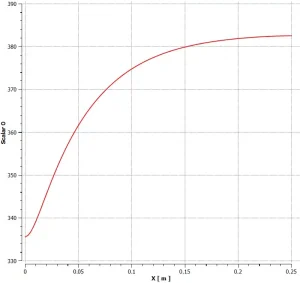
Finally, we must evaluate the radial temperature contours to see how the heat spreads outward from the center of the pipe to the metal walls. While the fluid and solid contours look somewhat similar, tracking from cold blue to hot red, the solid contour (Scalar 0) reveals a dangerous hidden flaw. The solid glass material located exactly at the center axis of the pipe is 2 to 5 K hotter than the solid glass located near the cooler outer walls. This happens because heat travels much slower through solid balls touching each other than it does through a fast-moving gas. The outer walls cool the edges of the reactor, but the solid balls in the dead center trap the thermal energy. By performing this highly accurate CFD Analysis of Thermal Non-equilibrium in Packed Bed Reactor, engineers can clearly see this 5 K center hot spot. To fix this, the factory can safely change the porosity of the glass beads or increase the gas injection speed, guaranteeing a perfectly safe and highly efficient chemical reactor.


Figure 3: Solid packing temperature profile and contour, illustrating the Scalar 0 UDS field that tracks the distinct thermal behavior and initial 15 K thermal shock of the solid glass beads.
Key Takeaways & FAQ
- Q: What does Thermal Non-equilibrium mean?
- A: It means that the flowing fluid (gas/liquid) and the solid objects (glass beads) inside the reactor have two completely different temperatures at the exact same location. In this study, there was a severe 15 K difference at the inlet.
- Q: Why do we use a UDF and a User-Defined Scalar (UDS)?
- A: Normal software assumes the fluid and solid share one temperature. We wrote a custom UDF and UDS code to force ANSYS Fluent to solve two separate energy equations, allowing us to see the exact 15 K thermal shock.
- Q: Why is the solid material in the center of the pipe 5 K hotter than the edges?
- A: Heat conducts very slowly from one solid glass ball to another. While the outer metal walls help cool the edges of the packing material, the solid balls trapped perfectly in the center hold onto their heat, creating a radial hot spot.
We pride ourselves on presenting unique products at CFDLAND. We stand out for our scientific rigor and validity. Our products are not based on guesswork or theoretical assumptions like many others. Instead, most of our products are validated using experimental or numerical data from valued scientific journals. Even if direct validation isn’t possible, we build our models and assumptions on the latest research, typically using reference articles to approximate reality.
Yes, we’ll be here . If you have trouble loading files, having technical problems, or have any questions about how to use our products, our technical support team is here to help.
You can load geometry and mesh files, as well as case and data files, using any version of ANSYS Fluent.
€360 Original price was: €360.€185Current price is: €185.
€190 Original price was: €190.€95Current price is: €95.
€295 Original price was: €295.€175Current price is: €175.
€200 Original price was: €200.€115Current price is: €115.
€240 Original price was: €240.€115Current price is: €115.
€200 Original price was: €200.€125Current price is: €125.








Reviews
There are no reviews yet.